Abstract: This paper distinguishes between governance
structure and contractual form. The basic premise is that researchers
often confuse these two concepts when they develop or empirically
test models within the transaction cost framework. In the paper
I utilize a simple principal-agent model to show that transaction
cost factors affect both contractual form and governance structure,
but not identically. Transaction cost factors that are known to
result in employment as a governance structure do not automatically
result in contracts characterized by the payment of fixed-wages,
as suggested by economic theory. Instead, incentive pay and the
delegation of decision-making authority to workers may be preferred
by firm owners. The implication is that the relationship between
a firm and a worker involves a two stage decision-making process
by the firm owner. The first is the choice of governance structure,
the second is the nature of the contract linking the worker to
the firm.
(JEL D23) Keywords: Transaction cost economics, governance,
control, incentive contracts.
I am grateful for helpful comments from seminar participants
at the University of Connecticut.
1. Introduction
The transaction cost framework recognizes the market and the firm as two alternative forms of governing production and exchange (Williamson, 1975; Masten, 1986; Demsetz, 1988; Hart, 1988) and "market contracts" and "managerial control" representing the two basic ways of contracting for labor services (Coase, 1937; Simon, 1951; Alchian and Demsetz, 1972; Masten, 1988). The hallmark of managerial control is that workers are directed by a manager, who "tells" workers what to do in exchange for a fixed wage payment. This is in contrast to a market contract in which the manager and worker bilaterally agree over the actions the worker will perform and what the payment will be.
The logic of transaction cost economics suggests that employment in a firm will govern contracts characterized by the direction of workers by a manager and the payment of fixed wages, and that the market will govern market-type contracts (Williamson, 1979). However, scholars often take a stronger position by implying that managerial control as a form of contract is necessarily governed by employment within a firm. For example, Holmstrom and Milgrom describe employment in part as having "significant restrictions on worker freedom" (1994, p. 973), and Milgrom and Roberts liken employment to "the traditional assembly line .. [in which] individuals on the line have little or no discretion about what they do and how they do it" (1992, p. 114). Moreover, scholars testing the transaction cost framework in employment relationships rely on this linkage by operationalizing contracts representing "managerial control" by the employment status of workers (see Anderson and Schmittlein 1984; Davis-Blake and Uzzi, 1993). In essence, they test what transaction cost economics has to say about contractual forms by the type of governance structure that exists.
However, employment is not the same as managerial control. Even casual observation indicates that "employment" comprises a number of different types of contractual relationships. Some of these may be considered as agreements between workers and the firm that allow managers to control the actions of workers in exchange for a fixed wage payment. In other cases, employed workers are not paid fixed wages and told what to do, but rather appear to have substantial discretion granted to them regarding the actions that they may take. These workers typically have contracts that have high-powered incentives and many of the characteristics of market contracting. Moreover, many market-mediated laborers, such as most temporary workers, are subject to significant managerial control and are paid wages, even though they are not formally employed.
The point is that governance structures and contractual forms are not equivalent. Governance refers to "alternative institutional modes for organizing transactions" (Williamson, 1979, p. 234) and "the institutional matrix within which transactions are negotiated and executed" (p. 239), while contract represents the particular, idiosyncratic exchanges existing between individuals. The purpose of this paper is to show that transaction costs affect both contracts and governance, but not identically. In some instances, transaction costs result in firm employment and managerial control with the payment of fixed wages. In other instances, transaction costs result in firm employment and the granting of discretion with incentive pay. Still other circumstances result in market governance with managerial control and fixed wage payments.
This is not to say that there is no linkage between governance and contract. Williamson (1979) correctly notes that
simple governance structures should be used in conjunction with simple contractual relations and complex governance structures reserved for complex relations Use of a complex structure to govern a simple relation is apt to incur unneeded costs, and use of a simple structure for a complex transaction invites strain (p. 239).
What is not clear is the strength of the connection. Is it correct to assume that all contracts of a particular type are governed by the same structure as transaction cost theory suggests? Should labor contracts characterized by the direct monitoring of workers and the payment of fixed wages always be governed by employment? Or, can market processes effectively govern such contracts? Similarly, are high powered contracts best governed by the market? Or, can they be effectively utilized within the firm? These questions are particularly germane when one considers the breadth of market, organizational, and management innovations that have evolved in recent years. For instance, self-managed teams, networks, virtual organizations, temporary workers, quality circles, employee empowerment, the flattening of hierarchies, and employee leasing services, to name only a few, are being increasingly adopted as alternatives to the more traditional employment-managerial control and market-market contract relationships. By separating the nature of the contract from the governance structure, transaction cost economics can provide considerably more insight not only into positive assessments of organizational effectiveness but also into normative issues regarding how to effectively manage workers. This paper contributes to the transaction cost literature by emphasizing the distinction between governance and contract. Further research needs to be directed at modeling the interrelationships between various forms of contracting and governance structures.
This paper builds on recent research on delegation (Jensen and Meckling, 1992; Minkler, 1993; Aghion and Tirole, 1997), job design (Holmstrom and Milgrom, 1991; Hirao, 1993; Valsecchi, 1996), and the control of agents (White, 1992; Fumas, 1993) by showing that factors that affect the choice between markets and hierarchies also affect the extent to workers are given control over their activities. One way to think about this is to consider the firm owner's problem as involving two steps. The first is to determine whether workers will be governed by the market or by the firm (transaction cost problem), while the second is to determine the nature of the tasks workers will be assigned (delegation and job design problem). In this paper I examine how transaction costs affect the use of fixed wage and incentive contracts, which is a second stage problem, when market contracting fails in the first stage. The insight offered here is that the choice between fixed wage and incentive contracts - or direct managerial control and worker-granted discretion - is affected by the characteristics of the transaction between worker and firm. That is, the costs that make the granting of discretion relatively more attractive to firm owners than direct managerial control from the principal-agency perspective are often precisely the costs that make managerial coordination attractive from the perspective of the theory of the firm. Thus, when a bilateral market agreement between a firm and worker regarding effort and pay is costly to devise and enforce, it is not entirely clear that the worker will be integrated into the firm, paid a wage, and then subject to managerial authority as suggested by Simon (1951), Alchian and Demsetz (1972), Williamson (1975, 1985) and others. In this paper I examine the relative advantages and disadvantages of contracts in which workers are directly controlled and monitored by a supervisor and contracts in which workers are granted discretion to act for the firm owner or supervisor when employment is expected to occur.
This paper will first present a brief example to
demonstrate the importance of distinguishing between contract
and governance. The paper will then outline a simple model contrasting
two types of contracts - fixed wages and incentive pay. The model
itself is not new but is used to illustrate how transaction costs
affect the choice of contractual form. The model will be used
to demonstrate that transaction cost factors that are known to
result in employment as a governance structure do not always result
in contracts characterized by the payment of fixed wages, as transaction
cost theory suggests. The implications for testing transaction
cost theory in employment relationships will then be examined.
The concluding section will relate these findings to the work
of other researchers on employment contracting issues and will
suggest additional avenues of analysis.
2. Distinguishing Between Governance and Contract: An Example
In order to illustrate why it is important to distinguish between contractual form and governance, consider the Holmstrom and Milgrom (1994) paper on incentive systems within firms. They explain how asset ownership, the level of incentives, and job restrictions are related to the cost of measuring performance, using an earlier study on industrial sales representatives as an empirical foundation to their model. They summarize their findings as follows:
Our main finding is that when the cost of measuring sales performance is high (e.g., because it involves team selling) . . . it is more likely that the agent's optimal incentives will conform to employment: modest commissions, firm ownership of customers, and no right for the agent to sell products of other manufacturers. On the other hand, when performance is easy to measure . . . incentives will conform with the attributes of independent contracting: strong output-based incentives, customer ownership, and freedom to sell products of other manufacturers (p. 974).
At the end of their paper they are presented with
a puzzle regarding franchising. They state that "monitoring
costs best explain the choice between franchising and company
ownership, [but] the relationship is opposite to that predicted
by our model: the harder it is to monitor a unit (as proxied by
the distance to headquarters), the more likely it is that
the unit is franchised." (p. 988; emphasis in original).
In attempting to explain this contradiction, Holmstrom and Milgrom
note differences between franchising and industrial selling. However,
they also note the "tight constraints and significant monitoring
imposed on franchisees." But this is precisely what their
theory predicts! The characteristics of the franchise contract
agree with their prediction of what the contract should look like
- the contracts are restrictive and monitoring is extensive
in the presence of high measurement costs, while the governance
structure is what is unusual (franchising instead of ownership).
Because they confused governance with contractual form, they completely
missed the relevancy of their model to the contracting problem.
3. A Simple Principal-Agent Model
The model developed below is a simple principal-agent model designed to illustrate the differential effects of fixed wages and incentive pay on employee behavior and to show how contractual form differs from governance. The model is not new, but is based on previous analyses by Milgrom and Roberts (1992), Tirole (1990), and Levinthal (1988). The contribution of this paper is in how the model is used. The basic insight is that transaction cost factors affect both contractual form and governance structure, although the effects are not identical. It will be shown that in some instances, transaction costs result in employment and managerial control; in other cases, transaction costs result in employment and contracts characterized by the granting of discretion to workers.
In presenting the model I assume that a bilateral
bargaining agreement is sufficiently costly to both parties; ex
ante agreements regarding the worker's effort inputs and the
firm owner's compensation are unverifiable to third parties (such
as a court). The reason for this assumption is to allow me to
examine theoretically the types of contractual relations that
emerge when market governance fails and firm employment is expected.
In doing so I will examine two types of contracts - fixed wage
and incentive contracts. Fixed wage contracts have the following
characteristics: they pay a fixed wage, and the task performed
by the worker is chosen by the firm owner. Contracts of this type
represent the idea of managerial coordination in the sense that
workers are directed, controlled, and monitored by superiors.
Incentive contracts, on the other hand, have the following characteristics:
payment varies as a function of the worker's effort or output,
and the task performed by the worker is chosen by the worker.
The firm owner's role is to design an incentive contract that
will induce the worker to select the action that makes the firm
owner as well-off as possible, recognizing the fact that the worker
will use the incentives to choose the task that makes him or her
as well off as possible. Contracts of this type have the feature
that workers have discretion to act for the firm owner in deciding
the specific action to perform.
3.1. Description of Model
Suppose a firm owner requires the efforts of a worker to supply some task, tT, where T=[0,). The action imposes a cost, c(t), on the worker of c(t)=Rt2/2, where R is a parameter representing disutility of effort. The benefit received by the firm owner is B(t). For simplicity, suppose B(t)=t. A contract between the worker and the firm owner will consist of two parts: (1) an expression of how the task, t, is determined (whether the firm owner or worker chooses the task), (2) an understanding of how the actions of the worker are evaluated (either through direct observation of t or some observable function of t), and (3) a statement defining the nature of the compensation, w, paid by the firm owner to the worker (either a fixed or variable payment). Assume that the worker is risk averse and that the firm owner is risk neutral. The worker's Certainty Equivalent (CE), CEw, is defined as
,
where Var(w) is the variance of w, and r is the worker's coefficient of risk aversion. The worker will accept the contractual terms if CEw wo, where wo is the worker's reservation wage. The firm owner's Certainty Equivalent, CEf, is
.
The firm owner will offer (and thus accept) a contract if CEf0. The Total Certainty Equivalent, CET, is
, or
.
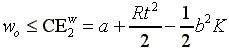
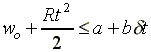
3.2. Fixed-Wage Contracts
Suppose that the task, t, performed by the
worker is observable to the firm owner but unverifiable by a third
party. Ex ante agreements regarding t and w
will be too costly to enforce. In this case, the optimal contract
is a forcing contract characterized by the payment of a fixed
wage
and an agreement in which the firm
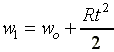
owner is allowed to choose the task, t. The optimal task,
t*, that maximizes Total Certainty Equivalent
,
is t*=1/R, and is determined by the firm owner, who assigns
this to the worker. The Total Certainty Equivalent under this
first type of contractual relation in which the wage is fixed
is
,
.
Under fixed wage contracts, the actions taken by
workers are determined by the firm owner who "instructs"
the workers what actions or tasks to perform. Such task assignments
will be rather specific in nature. For instance, a worker may
be told to "type this letter on this letterhead and mail
today to this person" or to "cut this piece of wood
into pieces of this size and shape using this blade." Thus,
job design is particularly crucial when fixed-wage contracts are
utilized, as Holmstrom and Milgrom (1991) argue, since task assignments
must be relatively specific and easy for the firm owner to monitor
and evaluate. Otherwise, the worker will choose to perform the
least costly activities at the expense of the relatively more
difficult and important tasks. Furthermore, workers will only
do what they are told - and no more - since they have no incentive
to choose tasks themselves that increase profits to the firm owner
but which may not lead to an increase in their pay. Firm owners
not only assign the tasks and pay wages but also monitor the workers'
activities to ensure that the residual returns to the firm owners
are maximized (Alchian and Demsetz, 1972; Grossman and Hart, 1986).
3.3. Incentive Contracts
Suppose that the task, t, to be performed by the worker is not observable. Ex ante agreements regarding t and w will be too costly to enforce because workers, knowing that t* cannot be perfectly known, will agree to a wage but have an incentive to perform a suboptimal level of activity. If firm owners expect this they may be unwilling to agree ex ante to a wage offer in excess of the worker's reservation wage. In extreme cases, contracting between the worker and firm owner will not occur. An alternative arrangement is a contractual mechanism that will induce "appropriate" behavior by the worker but does not rely on ex ante bargaining agreements regarding t and w or agreements in which the firm owner pays a wage and chooses t*. If there is an observable (and verifiable) outcome that is a function of the task action performed by the worker, then payment could be tied to that outcome. Such contracts are called incentive contracts. The distinguishing characteristic of incentive contracts is that the worker's income is not tied directly to effort but to some (perhaps imperfect) function of effort.
Suppose there is a performance measure that is a
function of the worker's chosen task, x(t), and that is
observable and verifiable to a third party. For instance, x(t)
could be profit or total sales. Suppose x(t)=t+, where is
a parameter representing the sensitivity of x to t
and
, and is an error term with mean
zero and variance Var(). For example, may represent unforeseen
changes in demand, and may represent the degree to which worker
effort directly affects company profits or sales. For simplicity,
I will consider only linear incentive schemes of the form w(t)=a+bx(t).
Under this wage scheme, the worker's Certainty Equivalent is
.
The worker will choose the task, t', that maximizes CEw, yielding t'=b/R. Note that task effort increases in b and , and decreases in R. The choice of task level, t', chosen by the worker is a function of the degree to which income increases as effort increases, the sensitivity of the performance measure to worker actions, and the disutility of effort. Note also that when b==1, then the worker receives the full marginal returns from additional effort and t'=t*.
The firm owner's objective is to choose the optimal incentive intensity, b, given that the worker will choose t'=b/R. This is done by maximizing the Total Certainty Equivalent, subject to t'=b/R. That is, choose b* to
, or
,
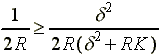
which yields b*=/[2+RrVar()]. Let K=rVar(). Then, b*=/[2+RK]. This relationship suggests that the incentive intensity chosen by the firm owner is affected by the sensitivity of the performance measure to actions taken by the worker, the worker's disutility of effort, and how sensitive the worker is to the riskiness of the incentive mechanism.
A simple rearrangement of the optimal incentive
intensity yields
. This equation defines
the optimal incentive intensity in terms of net marginal gains
and marginal costs to the worker. Marginal costs increase as K
increases; the higher the variance of income is or the relatively
more risk averse the worker is, the lower or weaker the incentive
intensity will be, other things equal. Net marginal gains increase
as increases (assuming 2RK). This suggests that the more
sensitive the performance measure is to actions taken by the worker,
the stronger the incentive intensity should be. Net marginal gains
decrease, however, as R increases, suggesting that the
higher the disutility of effort is, the weaker the incentive intensity
should be. Milgrom and Roberts (1992, ch. 7) suggest another interpretation
of R as being inversely proportional to the responsiveness
of the worker's choice of task to changes in incentives. In other
words, R may represent the ability of the worker to change
tasks. The higher R is, the relatively more difficult it
is for the worker to change what he or she is doing or to respond
to incentives effectively. This suggests that the more a worker
is able to change his or her tasks (the lower R is), the
stronger the incentives should be. As Milgrom and Roberts state,
"An employee with wide discretion facing strong wage incentives
may find innovative ways to increase his or her performance, resulting
in significant increases in profits" (1992, p. 222).
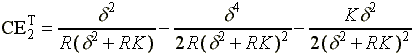
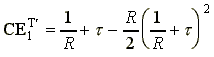
Given that t'=b/R and b*=/[2+RK], the Total Certainty Equivalent under the incentive contract is
,
,
,
.
Under contracts of this type, the actions taken
by the worker are determined by the worker. Firm owners "control"
what workers do only by manipulating the incentive intensity,
b. Moreover, firm owners may assign "tasks" to
workers, but they will likely be general in nature; a task "assignment"
may be to hit a certain target of x(t), with the delegation
of authority over the specific tasks given to the worker (see
Aghion and Tirole, 1997). The worker then chooses the appropriate
task, t, given the incentives, b. For instance,
the firm owner may instruct the worker to choose actions that
increase sales, with pay tied to sales, but he will not assign
specific tasks for the worker to perform since the firm owner
will be unable to observe such actions - only the outcomes or
effects of the worker's actions.
3.4. Comparing Fixed-Wage and Incentive Contracts
Traditional microeconomic theory provides considerable understanding into the relative advantages and disadvantages of fixed wage and incentive contracts. The basic insight is that fixed wages and incentive compensation result in a tradeoff between risk sharing and incentives (Stiglitz, 1987; see also Miller, 1992). Since firms are generally less risk averse than their employees, firms should absorb random income flows and pay workers a fixed wage. However, the payment of a fixed wage provides workers with little incentive to improve productivity and increase firm profits. Conversely, compensation that links pay to performance provides the appropriate incentives for workers to work hard in the interest of the firm but forces them to bear risks that both management and workers agree should be born by the firm.
In general, fixed wage contracts dominate incentive
contracts. That is, it is readily shown that
.
Recall that
and
.
Note that
,
since
for any 01, R0,
and K0. Thus,
. In other words, the Total
Certainty Equivalent from fixed wage contracts exceeds the Total
Certainty Equivalent from incentive contracts.
There are two reasons for this (see Levinthal, 1988).
First, under incentive contracting the expected wage bill exceeds
the expected wage bill for fixed wage contracts for any task level,
t, other things equal. This is shown as follows: Let
represent the anticipated fixed wage and
represent the expected incentive wage. We need to show that
for any t. This will be true if
.
Note that t=b/R, or b=tR/, under the incentive contract. Then,
, or
.
We need to show that this relation is valid. Recall
that the worker will only accept the incentive contract if his
Certainty Equivalent exceeds his reservation wage. Thus, if
is the worker's total Certainty Equivalent from the incentive
contract, then
must be true before the worker will accept the contract. If this is the case, then it must be that
,
since
. Thus,
.
In other words, incentive wages must be proportionally greater than fixed wages. The reason is that workers must be compensated for bearing a portion of the risk when pay is tied to a variable, uncertain outcome. Risky wages must, on average, exceed risk-free compensation, other things equal.
Second, effort is lower, other things equal, under
incentive contracts than effort determined by the firm owner under
fixed wage contracts. This is easily proven: If t* is the
optimal task assignment under the fixed wage contract, and t'
is the optimal task determined under incentive contracting, then
if
, or
,
where b*=/[2+RK]. This relation holds, since
for all R0 and K0. Thus,
.
The reason that effort is lower under incentive contracting is that effort must be induced indirectly through incentives. In other words, for each dollar paid under fixed wage and variable pay contracts, effort derived through variable wages is lower than effort under fixed wages, since a portion of the incentive wage payment must compensate the worker for the bearing of risk.
Therefore, high effort requires wages to be proportionately higher when wages are tied to imprecise performance measures than when wages are fixed and effort is determined by the firm owner. This leaves firm owners with a tradeoff. Higher effort may result in higher profits, but the effort must be induced through relatively higher wages. As long as the increase in wages does not result in lower net profit, then firm owners will be willing to induce the higher effort. However, this also suggests that firm owners may tolerate lower than desired effort, or slacking, rather than induce higher effort through higher wages. This tradeoff between the efforts of workers and the payments of wages is precisely the problem firm owners face when designing incentive systems (Stiglitz, 1987), which helps explain in part why firms are reluctant to link compensation to the performance of workers (Miller, 1992, ch. 5; Lawler, 1971; see also Kruse, 1993 and O'Dell and McAdams, 1987).
If fixed wage contracts dominate incentive contracts, other things equal, why don't firm owners universally use them? The answer, as one would expect, is that other things are not equal. There is a cost to using a fixed wage contract that reflects the ability of the firm owner to observe and verify worker activities.
The reason that some workers are paid a flat wage and are "told what to do," while other workers are not told what to do but appear to have substantial discretion to choose their activities, reflects the relationship between the cost of observing and verifying worker tasks and the agency costs associated with the use of incentive wage contracts. Agency relationships of the type characterized by worker-granted discretion and the use of incentive pay exist because the cost of observing and verifying worker activities through direct managerial oversight exceeds any gains firm owners may realize by using fixed wage contracts. Under these circumstances, firm owners may be willing to accept the fact that profits may not be fully maximized when workers are delegated authority and paid variable wages because alternative forms of organizing are "too costly" (Levinthal, 1988). In fact, the payment of fixed wages and the direct supervision of workers may be problematic for firm owners, even if the monitoring of workers is costless, since factors other than informational ones may affect the contractual relationship between workers and firm owners (White, 1992). This fact seems to have been overlooked by many transaction cost scholars examining the "make or buy" decision.
For instance, Williamson (1985) has observed, and
Holmstrom and Milgrom (1991, 1994) have shown, that fixed wage
contracts are predominant in employment relationships. The reason,
they argue, is that if workers use and develop assets owned by
others (which is how they define employment), and if assets are
hard to value, then workers will not devote sufficient time to
"asset development" if pay is tied to performance or
output measures. Workers will devote a relatively larger proportion
of time to activities most closely tied to the verifiable performance
measures. The payment of a fixed wage and the assignment of tasks
by the asset owner to the worker is optimal because the asset
owner can allocate worker effort to asset development and other
activities in order to maximize total profit. However, this assumes
that asset owners are able to observe worker activities at little
or no cost; it assumes that fixed wage contracts may be implemented
at little or no cost. If this were true, then there would be no
reason to choose between fixed wage contracts and incentive contracts
in the first place, since fixed wage contracts clearly dominate.
Stated differently, if firm owners have the option of choosing
fixed wage contracts at little or no cost, then why bother with
the determination of incentive mechanisms that rely on (perhaps)
imperfect measures of worker effort and that may result in lower
worker effort, lower profits, and lower total social welfare?
Why not directly observe worker effort and pay workers accordingly?
4. Transaction Costs and the Choice of Contractual Form
Firm owners will adopt fixed wage contracts if the costs associated with observing and verifying worker effort do not exceed the net gains from such contracts. That is, firm owners will choose to exercise the right of control and to "tell workers what to do" if
,
,
,
where z is the opportunity cost of utilizing incentive contracts and worker-granted discretion relative to the use of direct control and the payment of fixed wages (i.e., the foregone gain associated with fixed wage contracts), and m is the cost of observing, verifying, and managing worker effort directly. Conversely, firm owners will utilize incentive contracts and allow workers to decide what to do if z<m.
The cost of contractual relationships characterized by incentive mechanisms and worker-granted discretion as derived above is a function of the sensitivity of the performance measure to worker activities, the worker's disutility of effort, and the degree to which risk affects the worker. More generally, these costs are a function of the characteristics of the worker (through R and K) and the characteristics of the tasks required by the firm owner (through , K, and R, if R is interpreted as the ability of workers to change task assignments). Therefore, we may expect transaction-specific factors, in addition to the individual characteristics of the worker, to affect the cost of agency relations, just as we expect transaction-specific characteristics to affect the cost of direct managerial control. In other words, transaction cost factors are expected to affect the nature of the contract, as transaction cost economics suggests, with the emphasis on the specific transaction itself.
Moreover, factors that increase the cost of direct
managerial control may be the factors that make bilateral bargaining
and market coordination costly from a governance perspective.
And factors that increase the cost of delegating authority to
workers may also be factors that make market contracting costly.
Thus, when market coordination as a form of governance fails due
to substantial transaction costs, it is not at all obvious what
the resulting contractual relationship will look like, even though
firm employment is expected. Employment contracts may be characterized
by fixed wages and the direction of workers by the firm owner,
or they may be characterized by agency relations, the ability
of workers to choose their own tasks, and incentive-type contracts.
The specific form the contract takes is affected by the relative
costs of each alternative type of contract, just as governance
is affected by the costs of transacting. As an illustration of
this point, consider two examples of particular types of transaction
costs that make governance through firm employment preferable
to market-based exchanges.
4.1. Team Production and Task Interdependence
Alchian and Demsetz (1972) argue that when production requires a team effort, market contracts will be too costly to implement and enforce because they will be unable to circumvent free riding or shirking by the workers. The reason is that when workers participate through a team effort, the marginal contributions of workers will be difficult to determine precisely enough so that bilateral agreements can be made between each worker and the firm, with pay tied to the workers' individual efforts. Alchian and Demsetz conclude that a relatively more efficient form of organizing would involve a substantially different governance structure and contractual relationship if the workers agree to be paid a wage and to be directed and monitored by a capital owner. If the capital owner is also the residual claimant, then he will have an incentive to ensure that each worker is working as efficiently and effectively as possible by monitoring and controlling their actions. The result is the traditional firm organization, with employees subject to managerial control and paid a fixed wage.
This conclusion can be illustrated using the model developed above. Suppose represents (inversely) the extent to which workers participate in team production. An increase in the difficulty of determining a worker's marginal contribution because of his involvement in a team is represented by a decrease in the sensitivity by which the performance measure is affected by an individual worker's actions, or . That is, it is assumed that the more extensive team involvement is, the lower will be. Taking the partial derivative of z (agency costs) with respect to we obtain
.
This suggests that agency costs will increase as
decreases or the extent of involvement in ream production increases.
Consequently, we expect that fixed wage contracts will be relative
more attractive than incentive contracts and worker-granted discretion
when is low. Therefore, when production requires a team effort
and market coordination is untenable, then the resulting alternative
contractual form is likely to be characterized by the "classical"
firm in which capital owners pay wages to workers and direct and
monitor their activities.
4.2. Uncertainty
In his seminal work on the nature of employment, Simon (1951) shows that market exchanges are relatively less efficient than employment in a firm if there is uncertainty at the time the market contract is made regarding the specific action the worker should take. Simon argues that "employment" as a governance structure dominates because the choice regarding what action the worker should take can be delayed until the action needs to be taken when contracts are governed by firm employment. In presenting his model, Simon defines employment as the payment of a fixed wage and the direction of the worker by a firm manager. The model developed above, however, can be used to show that uncertainty may not necessarily lead to direct managerial control as Simon suggests, even though employment is expected. As shown below, uncertainty may increase the cost of managing relative to the cost of the granting of discretion, thus favoring indirect managerial control, agency relations, and the use of incentive compensation, rather than the payment of fixed wages and direct managerial oversight.
For instance, suppose there is some uncertainty
regarding the specific task, t, that the worker should
engage in. Specifically, suppose that the manager knows that the
Total Certainty Equivalent maximizing task, t*, is "around"
t*=1/R, but that the manager is uncertain precisely where
it is. Let
, be the optimal task selected
by the manager, where represents the degree to which the firm
owner is uncertain about the optimal task that the worker should
perform. Observe that when =0 then
.
The Total Certainty Equivalent under a fixed wage, managerially-assigned task contract is
,
,
.
In this case
.
Differentiating with respect to we obtain the result that
.
Other things equal, the opportunity costs of agency
relationships are relatively lower the greater is the manager's
uncertainty regarding the specific action the worker should take.
Stated differently, when firm owners are uncertain about the specific
assignment the worker should engage in, the benefits of direct
managerial control are reduced and may in fact be less than the
costs of monitoring and evaluating the specific assignments of
the worker. Hence, while market contracting will likely fail in
the presence of uncertainty, the resulting alternative contractual
form that emerges may not necessarily be one characterized by
the payment of wages and the subjection of workers to authority
by firm owners, as Simon (1951) suggests. Rather, firm owners
may grant discretion to workers to choose the actions themselves,
especially if workers have more knowledge regarding the best actions
to take (see Jensen and Meckling, 1992; Minkler, 1993; Aghion
and Tirole, 1997). Payment will likely be linked to some (perhaps
imperfect) performance measure, and managerial control will be
implicit through the incentive mechanism. We expect that this
form of organizing will differ substantially from organizations
developed around direct managerial control and supervision of
workers. For instance, if technological changes or improvements
in production process technologies make it more difficult for
firm owners or managers to determine what workers should do, firm
owners may be better off shifting decision-making responsibilities
to workers. It also suggests why some firms may reorganize their
firms by flattening hierarchal structures and increasing the degree
of authority and responsibility worker's have over their activities.
5. Testing for Transaction Cost Effects on Contractual Form and Governance Structures
When examining the nature of the relationship between firm owners and workers, transaction cost factors are expected to affect both the governance structure and the contractual form. However, as shown above, it is not clear whether the resulting contract will be characterized by the payment of fixed wages or by the use of incentive pay. Consequently, researchers examining the degree to which transaction cost economics explains the employment relationship must be careful how they develop and test their models. A reasonable approach is to examine the problem of how firm owners link workers to their organizations in two steps. The first is to examine governance, and the second is to investigate the characteristics of the contractual relationship.
Empirical tests of the relative advantages of employment and markets generally take the following form: If Gi represents the structure governing the contractual relationship between a worker, i, and firm, then
if 
if
>
where
is employment and
is market contracting,
is the cost of employing and
is the cost
of transacting in the market, and Xi represents transaction-specific
factors. Because
, j=e,
c, is difficult to observe directly, we can test for the
likelihood a worker will be employed according to the relation
,
which can be estimated using standard limited dependent model methods.
Similarly, we can let Hi represent the contract linking the worker to the firm, then
if 
,
if
>
,
where mi is the cost of directly controlling and monitoring workers and zi is the cost of worker-granted discretion and incentive contracting. Since managing and agency costs are also difficult to observe directly, we can use the relationship
to test for the likelihood that we observe either fixed wage or incentive contracts.
If transaction cost factors that lead to employment
also lead to managerial control, then we may conclude that employment
is characterized primarily by the payment of fixed wages and the
direct control of workers. In this case we may say that employment
as a governance structure is generally equivalent to managerial
control and associated contractual forms. However, if transaction
cost factors lead to employment but do not lead to managerial
control, we may conclude that employment, in this case, is not
characterized by traditional forms of managerial control, but
rather represents contractual relations characterized by worker-granted
discretion. The point is to distinguish between tests of governance
structure and tests of contractual form. If researchers develop
a model that is couched in terms of contractual form, but test
the model using the employment status of workers as the "measure"
of managerial control, then they are conducting the wrong test.
Thus, a test of a model of contracting must examine the nature
of the contractual relationship rather than the employment status
of workers.
6. Conclusions
This paper has shown the importance of distinguishing between governance structure and contractual form. This distinction is only important when researchers focus on the extent to which human, rather than physical, capital inputs are integrated within a firm's organization. The reason is that the firm ownership and the control of capital are generally regarded as synonymous (see Klein, Crawford, and Alchian, 1978; and Grossman and Hart, 1986). However, there are several reasons why the integration of labor is expected to differ from that of capital. First, there are important differences in the ways physical and human capital are utilized in production; hence, contracts governing their relationships will likely reflect these differences. Second, unlike capital assets, labor cannot be integrated through ownership. Third, while the integration of labor can generally be terminated "at will" by either the firm or the worker, the ownership of physical capital may only be terminated by the asset owner; physical assets cannot walk away. Finally, there are significant distinctions in the law regulating the ownership and transfer of physical capital and in the law governing contracts that define the relationship between worker and firm. For these reason, we expect transaction cost factors to affect both governance and contract in the case of organizing workers. By examining factors that affect both governance structures and contractual relationships, we can gain a greater understanding into a number of important issues relating to delegation, job design, and other contracting issues, as well as findings of other researchers.
For instance, the analysis by Holmstrom and Milgrom (1994) on incentives within firms described at the beginning of this paper is based in part on the empirical work of Anderson and Schmittlein (1984), who examined factors affecting the employment of sales representatives. They found that sales representatives are more likely to be employed than retained as independent contractors the more difficult it is to evaluate the performance of the sales staff. Holmstrom and Milgrom (1994) suggest that this is because hard to monitor cases should be associated with low-powered incentives and firm ownership of customer lists, factors they equate with employment. An alternative explanation for the employment of sales representatives is that hard to monitor cases may require more judgment on the part of the representative than not-so-hard to monitor cases. Anderson and Schmittlein hint at this possibility by recognizing that "selective judgment" by employees may be preferable to relying on "defective" measurements required with market contracts (1984, p. 338). Thus, sales representatives may be employed so that they decision rights over "selective" issues may be delegated to the workers.
As a further illustration of the advantages of distinguishing between contract and governance, consider the paper by Aghion and Tirole (1997) on control and delegation. They distinguish between formal and real authority and show how these are allocated within organizations, based on factors such as span of control, performance measurement conditions, and reputation, among others. Because an increase in an agent's delegated authority results in a loss of control by the principal, they show how monetary incentives can affect the degree of control principals have over their agents, thus providing a reasonably effective "check" on the actions agents may take. Their analysis suggests that contracts, and the monetary incentives embodied by the contracts, will change as the allocation of real authority varies within firms, just as the allocation of formal authority is affected by different governance structures. The distinction they make between formal and real authority is consistent with the distinction between governance structure and contract as outlined in this paper. The analysis presented here supports the conclusion that formal authority is expected to be related to governance structure, while real authority is defined by contractual relationships.
The distinction between contract and governance also helps us understand the importance of job design, as illustrated by Holmstrom and Milgrom (1991). In their paper they argue that job design affects the incentives agents face when choosing among a variety of tasks to complete, since increases in pay linked to one activity will result in the reallocation of effort away from other activities. The analysis presented above suggests that the issue of job design is primarily a contractual one, rather than a governance problem. Contractual elements, such as monetary and non-monetary incentives and monitoring mechanisms, are the primary factors affected by job design, rather than the employment status of workers. Thus, employment is expected only to the extent that it best governs contracts characterized by the payment of fixed wages when the grouping of tasks is difficult to monitor, but not necessarily because the measurement of activities is difficult.
Previous work in transaction cost economics places
undo emphasis on the connection between contractual form and governance.
This is due in part because researchers assume that there is a
direct relationship between contract and governance. Further research
needs to be directed at examining theoretically how contracts
are linked to different governing structures, and how transaction
cost factors affect both contracts and governance.
References
Aghion, Philippe, and Jean Tirole, (1997) "Formal
and Real Authority in Organizations," Journal of Political
Economy, 105(1), 1-29.
Alchian, Armen, and Harold Demsetz, (1972) "Production,
Information Costs, and Economic Organization," American
Economic Review, 62, 777-795.
Anderson, Erin, and David C. Schmittlein, (1984)
"Integration of the Sales Force: An Empirical Examination,"
Rand Journal of Economics, 15(3), 385-395.
Coase, Ronald H., (1937) "The Nature of the
Firm," Economica, 4(NS), 386-405.
Davis-Blake, Alison, and Brian Uzzi, (1993) "Determinants
of Employment Externalization: A Study of Temporary Workers and
Independent Contracting," Administrative Science Quarterly,
38, 195-223.
Demstz, Harold, (1988) "The Theory of the Firm
Revisited," Journal of Law, Economics, and Organization,
4(1), 141-162.
Fumas, Vincente Salas, (1993) "Incentives and
Supervision in Hiearchies," Journal of Economic Behavior
and Organization, 21, 315-331.
Grossman, Sanford J., and Oliver D. Hart, (1986)
"The Costs and Benefits of Ownership: A Theory of Vertical
Integration," Journal of Political Economy, 94, 691-719.
Hart, Oliver D., (1988) "Incomplete Contracts
and the Theory of the Firm," Journal of Law, Economics,
and Organization, 4(1), 119-140.
Hirao, Yukiko, (1993) "Task Assignment and Agency
Structures," Journal of Economics and Management Strategy,
2(2), 325-332.
Holmstrom, Bengt, and Paul Milgrom, (1991) "Multitask
Principal-Agent Analyses: Incentive Contracts, Asset Ownership,
and Job Design," Journal of Law, Economics, and Organization,
7(spring), 24-52.
Holmstrom, Bengt, and Paul Milgrom, (1994) "The
Firm as an Incentive System," American Economic Review,
84(4), 972-991.
Klein, Benjamin, Robert G. Crawford, and Armen A.
Alchian, (1978) "Vertical Integration, Appropriale Rents
and the Competitive Contracting Process," Journal of Law
and Economics, 21(2), 297-326.
Kruse, Douglas L., (1993) Profit Sharing: Does
it Make a Difference? W.E. Upjohn Institute for Employment
Research.
Jensen, Michael C., and William H. Meckling, (1992)
"Specific and General Knowledge, and Organizational Structure,"
in Les Werin and Hans Wijkander (eds.) Contract Economics,
Cambridge, MA: Blackwell, 251-281.
Lawler, Edward E., (1971) Pay and Organizational
Effectiveness: A Psychological View, New York: McGraw-Hill.
Levinthal, Daniel, (1988) "A Survey of Agency
Models of Organization," Journal of Economic Behavior
and Organization, 9(2), 153-186.
Masten, Scott E., (1986) "Institutional Choice
and the Organization of Production: The Make-or-Buy Decision,"
Journal of Institutional and Theoretical Economics, 142(3),
493-509.
Masten, Scott E., (1988) "A Legal Basis for
the Firm," Journal of Law, Economics, and Organization,
4(1), 181-198.
Milgrom, Paul, and John Roberts, (1992) Economics,
Organization and Management, Englewood Cliffs, NJ: Prentice-Hall,
Inc.
Miller, Gary, (1992) Managerial Dilemmas: The
Political Economy of Hierarchy, New York: Cambridge University
Press.
Minkler, Alanson P., (1993) "Knowledge and Internal
Organization," Journal of Economic Behavior and Organization,
21, 17-30.
O'Dell, Carla, and Jeryy McAdams, (1987) People,
Performance, and Pay, Houston: American Productivity Center.
Simon, Herbert,(1951) "A Formal Theory of the
Employment Relationship," Econometrica, 19(3), 293-305.
Stiglitz, Joseph E., (1987) "The Design of Labor
Contracts: The Economics of Incentives and Risk Sharing,"
in Haig R. Nalbantian (ed.), Incentives, Cooperation, and Risk
Sharing: Economic and Psychological Perspectives on Employment
Contracts, Totowa, NJ: Rowman & Littlefield, 47-68.
Tirole, Jean, (1990) The Theory of Industrial
Organization, Cambridge, MA: The MIT Press, 39-40.
Valsecchi, Irene, (1996) "Policing Team Production
Through Job Design," Journal of Law, Economics, and Organization,
12(2), 361-375.
White, William D., (1992) "Information and the
Control of Agents," Journal of Economic Behavior and Organization,
18, 111-117.
Williamson, Oliver E., (1975) Markets and Hierarchies:
Analysis and Antitrust Implications, New York: The Free Press.
Williamson, Oliver E., (1979) "Transaction-Cost
Economics: The Governance of Contractual Relations," Journal
of Law and Economics, 22(2), 233-261.
Williamson, Oliver E., (1985) The Economic Institutions of Capitalism, New York: The Free Press.